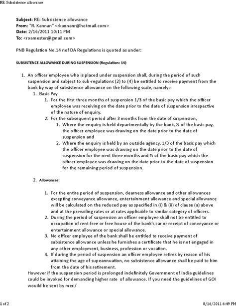
Daily Subsistence Allowance Rates Explained

B.Defunctgames 72 views
Daily Subsistence Allowance Rates Explained

Daily Subsistence Allowance Rates Explained

Hey guys! Let’s dive deep into the world of Daily Subsistence Allowance (DSA) rates . If you’ve ever traveled for work, whether for the government, military, or even many private companies, you’ve likely encountered this term. But what exactly is it, and how are these rates determined? We’re going to break it all down for you, covering everything from what DSA is to how it impacts your travel budget. So, buckle up, because understanding DSA rates can seriously save you money and hassle on your next business trip! We’ll explore the nuances, the key factors influencing these rates, and how you can best utilize this information. It’s more than just a number; it’s a crucial component of effective travel management and reimbursement.

What Exactly is the Daily Subsistence Allowance (DSA)?

Alright, so let’s get this straight from the get-go: What is the Daily Subsistence Allowance? Simply put, DSA is a sum of money given to employees to cover their expenses when they are traveling away from their usual place of work or residence. Think of it as a per diem, a daily allowance designed to help you cover the costs of meals, lodging, and incidental expenses. These incidental expenses can include things like laundry, tips, and other small, necessary costs that pop up during your trip. The goal is to ensure that you, the traveler, aren’t out-of-pocket for the basic necessities while performing your duties. It’s a standardized amount, usually set by a governing body or company policy, to ensure fairness and predictability. This allowance is typically provided on a daily basis, hence the name, and it’s meant to be an estimate of what these essential costs will be. It’s important to remember that DSA isn’t usually a replacement for your actual salary; rather, it’s a reimbursement mechanism for the additional costs incurred due to travel. Different organizations have different policies regarding DSA. For instance, government and military personnel often have very specific, regularly updated DSA rates based on location. Private companies might have their own internal scales or might adopt government rates as a benchmark. The key takeaway here is that DSA is designed to make business travel more manageable by providing a predictable financial cushion for daily expenses. It’s a vital tool for budgeting and ensuring that employees are adequately compensated for the inconvenience and extra costs associated with being away from home.

How are Daily Subsistence Allowance (DSA) Rates Determined?

Now, the million-dollar question: How are Daily Subsistence Allowance rates actually set? This isn’t just a random number plucked out of thin air, guys. The determination of DSA rates is usually a well-thought-out process, heavily influenced by market research and economic factors. The primary driver is the cost of living in the specific location where the travel is taking place. Think about it – a meal in New York City is going to cost a whole lot more than a meal in a small rural town. Therefore, DSA rates are often tiered based on cities or regions, reflecting these differences in expenses. Governments and large organizations typically conduct surveys or use data from reputable sources to analyze the average costs of lodging, food, and incidentals in various locations. For example, the U.S. General Services Administration (GSA) publishes standard per diem rates for travel within the continental United States, Alaska, Hawaii, and U.S. territories, as well as for foreign travel. These rates are updated annually and are based on data collected from the lodging industry and other cost-of-living indices. Similarly, military organizations have their own complex systems, often taking into account factors like the rank of the service member and the specific nature of the assignment. Key factors include: the average cost of a hotel room in the area, the typical price of three meals per day (breakfast, lunch, and dinner), and an allowance for miscellaneous expenses like laundry, dry cleaning, and tips. Some rates might also differentiate between weekdays and weekends, or between standard travel and specific event travel. For international travel, exchange rates and the local economic conditions play a significant role. It’s a dynamic process, often requiring regular updates to remain relevant and fair. The objective is to provide a rate that is sufficient to cover reasonable expenses without being overly generous, which could lead to misuse or inflated travel costs. So, when you see a DSA rate, know that it’s backed by data and aims to strike a balance between covering your needs and managing organizational budgets effectively. It’s a sophisticated calculation designed for accuracy and fairness across diverse locations and circumstances.

Understanding the Components of DSA: Lodging, Meals, and Incidentals

Let’s break down the components of DSA a bit further, because understanding these will help you manage your travel budget much better. Typically, the DSA rate is an amalgamation of three main categories: Lodging , Meals , and Incidentals (M&IE) . The Lodging portion is usually the largest chunk. It’s meant to cover the cost of a hotel room or other temporary accommodation. The amount allocated for lodging is heavily influenced by the average nightly hotel rates in the specific city or region. In major metropolitan areas with high tourism or business activity, the lodging component will be significantly higher than in smaller towns. Meals cover your daily food expenses – breakfast, lunch, and dinner. Again, this varies by location. A sandwich in one city might cost \(5, while in another, it could be \) 15. The DSA aims to provide a realistic allowance for these everyday costs. Some policies might even break this down further, giving specific amounts for each meal, while others provide a single daily meal allowance. Finally, Incidentals are the catch-all for those little things that add up. This can include things like: tipping hotel staff, paying for laundry service (especially on longer trips), using hotel business services like printing, or even things like Wi-Fi charges if not covered by the hotel. The amount for incidentals is usually smaller but still important. It acknowledges that even a short trip can involve minor expenses that aren’t directly for food or a place to sleep. It’s crucial for travelers to understand how these components are allocated within the total DSA. Sometimes, you might receive separate allowances for lodging and M&IE (Meals & Incidental Expenses). For example, if your employer books and pays for your hotel directly, you might only be reimbursed for the M&IE portion of the DSA. This is often referred to as a “lodging-excluded” or “conference rate” where applicable. Always check your organization’s specific policy! Knowing these details helps you track your spending more effectively. If your actual lodging costs are lower than the allocated amount, you might be able to keep the difference (depending on policy), but you still need to ensure your meal and incidental expenses are covered by their respective allowances. It’s all about making sure you’re covered without overspending. This detailed breakdown ensures that all potential costs are considered, providing a comprehensive financial safety net for traveling employees.

Travel for Government and Military Personnel: Specific DSA Rates

When it comes to government and military personnel , the Daily Subsistence Allowance (DSA) system gets a bit more structured and often more detailed. If you’re in the military or work for a government agency, you’re likely very familiar with these specific rates, and they often differ from private sector allowances. Government DSA rates are typically set by specific agencies, with the U.S. GSA being a primary example for federal employees traveling within the U.S. and abroad. These rates are updated annually and are based on extensive research into the costs of lodging, meals, and incidentals in thousands of locations worldwide. They often have different tiers for major cities, standard locations, and even specific high-cost areas. For military members, the rules can be even more nuanced. The Defense Travel Management Office (DTMO) publishes Joint Travel Regulations (JTR) that outline per diem allowances. These rates can vary based on rank, duty status (e.g., temporary duty or permanent change of station), and the specific destination. The goal is to ensure service members have their essential expenses covered while on official travel. Often, military members might receive a flat per diem rate that covers M&IE, while lodging is either reimbursed based on actual receipts up to a certain ceiling or provided through government quarters when available. Key distinctions often include: mandated rates (unlike some private companies that have flexibility, government/military rates are often non-negotiable), specific location classifications (e.g., different rates for DoD employees versus other federal employees in the same city), and strict documentation requirements . Travelers are usually expected to stay in government lodging or the most economical commercial lodging available. If they choose a more expensive option without proper justification, they might only be reimbursed up to the established per diem rate. For international travel, military and government DSA rates take into account currency fluctuations and local economic conditions, often using tables provided by organizations like the Department of State or the Department of Defense. Understanding these specific rates and the regulations governing them is critical for military and government travelers to avoid financial shortfalls or discrepancies. It’s a system built for accountability and ensuring essential needs are met during official duties, often reflecting a commitment to providing adequate support in diverse and sometimes challenging operational environments.

DSA vs. Per Diem: Are They the Same Thing?

This is a common point of confusion, guys: Is DSA the same as Per Diem? In many practical contexts, yes, they are essentially interchangeable terms , especially when discussing allowances for travel expenses. Per diem is a Latin term meaning “for each day.” It’s a daily allowance meant to cover travel expenses. Daily Subsistence Allowance (DSA) is a more specific term often used in government, military, and international contexts, but it serves the exact same purpose: to provide a daily budget for lodging, meals, and incidentals. Think of “per diem” as the broader category, and “DSA” as a specific type or name for that per diem allowance, particularly when it’s for subsistence (food, lodging, etc.). Most organizations that use the term DSA are referring to a per diem allowance. The core concept is identical: providing a fixed daily amount to cover expenses incurred while traveling for work. Why the different terms? It often comes down to historical usage within specific sectors. The military and international organizations may have historically favored “DSA,” while other sectors or regions might commonly use “per diem.” Key similarities: * Both are daily allowances. * Both aim to cover lodging, meals, and incidental expenses. * Both are typically based on location and updated regularly. * Both usually require adherence to certain spending limits or policies. Potential subtle differences (depending on context): Sometimes, “per diem” might be used more broadly to include allowances for travel beyond just meals and lodging, though this is less common. However, for the vast majority of business travelers, if you hear “DSA” or “per diem,” they are referring to the same concept: your daily budget for expenses while on a work trip. Always refer to your specific organization’s travel policy to understand which term they use and what it specifically covers. But for general understanding, you can consider them synonyms for the daily allowance you receive for travel.

Tips for Managing Your Daily Subsistence Allowance (DSA)

Now that we’ve covered the what, why, and how of DSA, let’s talk about making it work for you! Managing your Daily Subsistence Allowance effectively can make a big difference in your travel experience. Here are some top tips, guys:

  1. Know Your Rate and Policy Inside Out: Before you even pack your bags, make sure you know the exact DSA rate for your destination and understand your organization’s specific travel policy. Are there different rates for different days? Does the rate change if lodging is provided? What are the rules for incidentals? Knowledge is power – and money!
  2. Track Your Expenses Diligently: While DSA is a fixed daily amount, it’s still wise to keep track of what you’re spending. This helps you stay within your budget and can be useful if any questions arise later. Use a travel expense app or a simple notebook.
  3. Prioritize Needs: The DSA is an allowance , not a guarantee that every single expense will be covered. If you’re in a high-cost city, your actual expenses might exceed the allowance. Conversely, you might come in under budget in a less expensive area. Prioritize your essential needs: lodging and meals first.
  4. Be Mindful of Incidentals: Don’t blow your incidental allowance on impulse buys. Save it for necessary things like laundry, local transportation tips, or essential toiletries if you forgot them. These small costs can add up quickly.
  5. Understand Reimbursement Procedures: How do you get reimbursed? Do you get the money upfront, or do you submit receipts afterward? Understand the process to avoid delays or unexpected out-of-pocket costs. Some companies offer advances, while others require you to pay and then get reimbursed.
  6. Look for Economy Options (When Appropriate): While the DSA is meant to cover reasonable costs, being a savvy traveler can help you stretch the allowance further. Choosing less expensive meal options or utilizing hotel amenities wisely can help you save money, which might be beneficial if your policy allows you to keep the difference (though this is rare with strict DSA policies).
  7. Communicate with Your Travel Department: If you encounter unusual circumstances (e.g., unexpected travel disruptions, emergencies requiring extra costs), communicate with your travel department or manager before making unplanned expenditures if possible. They can advise on policy or authorize exceptions.

By being informed and diligent, you can ensure your DSA covers your needs comfortably and makes your business travel a smoother experience. It’s all about being prepared and making smart choices on the road. Remember, a little planning goes a long way in making the most of your travel allowances!

Conclusion: Navigating DSA for Smarter Travel

So there you have it, guys! We’ve journeyed through the essentials of Daily Subsistence Allowance rates , from what they are and how they’re determined, to the nitty-gritty components and how they compare to per diem. Understanding DSA is key to navigating the financial side of business travel smoothly. Whether you’re in the government, military, or a private company, these allowances are designed to support you while you’re on the move, ensuring your essential needs are met without breaking the bank.

Remember the core principles: DSA is location-dependent, based on the cost of living, and typically covers lodging, meals, and incidentals. For government and military folks, the rates are often more structured and rigorously defined by specific regulations. And for most of us, DSA and per diem are just two names for the same daily travel budget concept.

By applying the tips we discussed – knowing your rate, tracking expenses, prioritizing needs, and understanding your policy – you can become a pro at managing your DSA. This not only helps you avoid unexpected costs but also ensures you’re making the most of the resources available to you. Smart travel management isn’t just about booking flights; it’s also about understanding and utilizing allowances like DSA effectively.

Travel smart, stay informed, and happy trails!